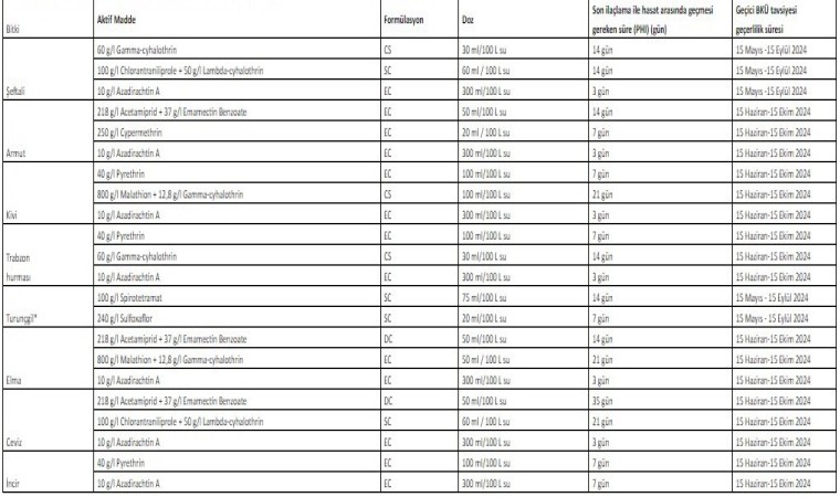
Samsun İl Tarım ve Orman Müdürü İbrahim Sağlam, meyvede ’kahverengi kokarca’ ile mücadele zamanı olduğunu belirterek, "İlimizde başta şeftali olmak üzere, kivi, Trabzon hurması ve bölgede ekonomik olarak yetiştiriciliği yapılan diğer meyve gruplarında popülasyon yoğunluğuna göre kimyasal mücadele geciktirilmeden yapılmalıdır" dedi.
İstilacı bir tür olan ve özellikle Karadeniz Bölgesi’nde fındık başta olmak üzere yüzlerce bitki türüne büyük zarar veren “kahverengi kokarca” ile mücadele zamanı olduğunu ifade eden İl Tarım ve Orman Müdürü İbrahim Sağlam, "İlimiz fındık alanlarında kahverengi kokarca ile kimyasal mücadele; Fındık kurdu mücadelesi ile birlikte entegre mücadele prensipleri doğrultusunda sahil ve orta kuşakta 6 Mayıs 2024, yüksek kuşakta 15 Mayıs 2024 tarihi itibariyle başlamıştır. İlimizde fındık dışında ekonomik olarak yetiştiriciliği yapılan diğer meyve gruplarında da zarar yapma potansiyeli yüksek olan Kahverengi kokarca ile kimyasal mücadele zararlı popülasyon yoğunluğuna göre yapılmalıdır. İlimizde başta şeftali olmak üzere, kivi, Trabzon Hurması ve bölgede ekonomik olarak yetiştiriciliği yapılan diğer meyve gruplarında popülasyon yoğunluğuna göre kimyasal mücadele geciktirilmeden yapılmalıdır. Üreticilerimizin en yakın İl/İlçe Tarım Müdürlüklerine müracaat etmeleri, BKÜ veri tabanında yayınlanan kahverengi kokarca zararlısına karşı geçici BKÜ tavsiye listesinde yer alan bitki koruma ürünlerini, üretici kayıt defterlerine kaydettirerek yetkili kişiler tarafından tavsiye edilen dozda ve zamanda kullanmaları gerekmektedir" diye konuştu.
İlaçlama yapılırken tavsiyeler
Müdür Sağlam şunları söyledi:
"Üreticilerimiz ilaçlama yaparken mutlaka eldiven, maske ve gözlük, tulum çizme gibi koruyucu kıyafetleri kullanmaları, ilaçlama esnasında hiçbir şey yemeyip içmemeleri, rüzgârlı ve yağışlı havalarda ilaçlama yapmamaları gerekmektedir. İlaçlamadan önce çocuklar ve evcil hayvanlar ilaçlama sahasından uzaklaştırılmalı, bitki koruma ürünlerini ruhsatlı olduğu bitkiler dışında ve başka amaçla kullanmamalarıdır. Son ilaçlama ile hasat arasında geçmesi gereken süreye dikkat edilmeli, ilaçlama bitiminde ilaçlama ekipmanları temizlenmeli, boşalan bitki koruma ürünleri kutuları başka amaçla kullanılmamalı ve uygun şekilde imha edilmesi için gerekli önlemler alınmalı, zararlıyla mücadelede insan ve çevre sağlığına gereken özen gösterilmelidir. Kahverengi kokarca ile mücadelede entegre mücadele prensipleri doğrultusunda biyolojik, biyoteknik ve kimyasal mücadele metotlarının bir bütün olarak ele alınması gerektiği göz önüne alınarak, üreticilerimizin il ve ilçe müdürlüklerimizden gelen uyarıları dikkatle takip etmeleri gerekmektedir."









Yorum Yazın
E-posta hesabınız sitede yayımlanmayacaktır. Gerekli alanlar * ile işaretlenmişdir.